Skip to Main Content
Search
Government
Departments
Services
Our Community
Business
How Do I...
Home
Departments
Development Services
Planning & Zoning
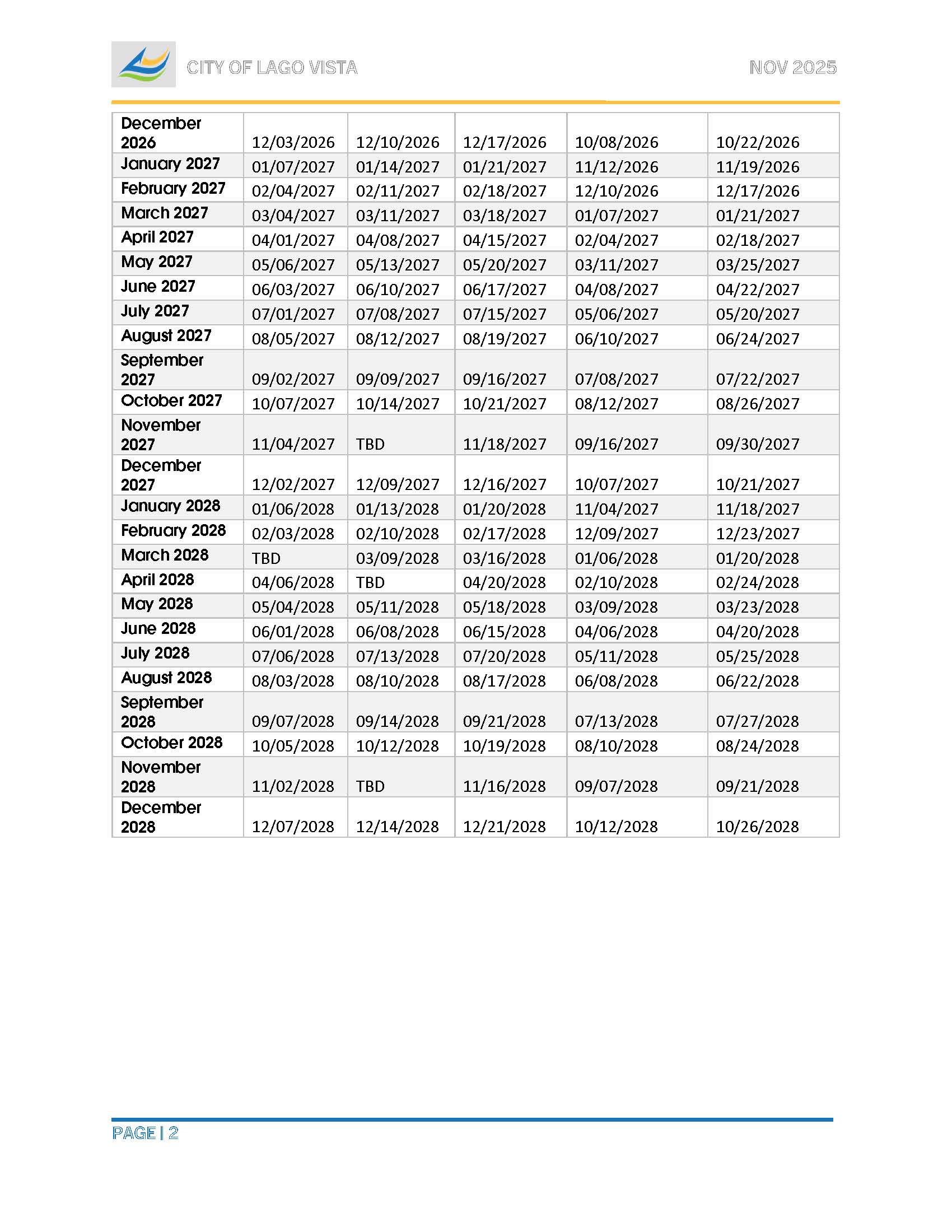
Planning and Zoning Submittal Calendar
Planning and Zoning Submittal Calendar
Link to Document:
P&Z Submission Calendar (PDF)
Land Use Application Forms
Site Development / Design Review Application Forms
Zoning Development Cases
Interim Growth Management Policy
Subdivision Application Forms
Planning and Zoning Submittal Calendar
Discussion Board
Agendas and Minutes
Pay Online
Report an Issue
Apply for a Permit
Ordinances
Watch Meetings
Notify Me
Home
Site Map
Contact Us
Accessibility
Copyright Notices
Privacy Policy
/QuickLinks.aspx
Government Websites by
CivicPlus®
Loading
Loading
Arrow Left
Arrow Right
[]
Slideshow Left Arrow
Slideshow Right Arrow